《算学宝鉴》那期专栏收到了很多评论,其中不乏一些重量级的。刨去那些粘贴复读的评论,认真梳理了一下反方的意见,其中除了极个别是真的讨论数学,大多都是看都不看,直接奔着评论区来的。他们根本就没学习过这些数学知识,不论是中国古代的还是国外的,所以我就专门出这期内容,梳理一下中国古代数学家们是如何解决二次及以上的高次方程的,也详解一下王文素的所谓的“导数”。

首先是最近的一个用户评论,他非要争论估值问题,认为我用牛顿法的估值和王文素的估值都是10。所以我在故意贬低王文素,捧牛顿,还能问出“凑好的方程”。我也告诉他了,那道题用N-R法解的话,初值可以不是10,不知道他有没有自己验证过,或许他根本没看懂吧。至于凑方程这种问题,更是令人哭笑不得。我就现场给他凑一个吧。


这就凑了一个有四个实数根的一元四次方程了,四个根分别是3、-1、-5、7。
我们可以用牛顿法再解一遍上次那个算例。

初值就估计为15,此时函数在(15,65610)处的切线斜率就是

切线方程就是

这条切线与x轴交点是(351675/27819,0),约等于(12.6415399,0)。以这个x的值,再求一次切线斜率和函数值

切线方程大概就是

再求切线和x轴交点,约等于10.9580258。重复以上的步骤,新的切线方程约为

它和x轴的交点约等于12.1152787。相比于12.6415399更接近真实值12了。这就是N-R方法迭代求值的过程。我们在这里就可以发现,N-R方法除了初值需要自己估计以外,以后的每一个切线的斜率和零点都是由关系式制约导出的。而王文素的方法都是在试商,这就意味着王文素的算法更适合人的手工计算,而且收敛过程是具有截断特性的,精度把控优于N-R方法。但是对于计算机而言,试商这种操作有点不够机械性,算法可实现性而言,N-R方法更容易实现。
说回正题,中国古代数学的重点研究对象是方程问题。解高次方程被转化为了开方问题,所以开方算法的进步,就标志着中国古人解高次方程的方法的进步。中国古人从什么时候开始研究开方,我的观点是认为开方应该是伴随着勾股定理的应用而被重视的。
一、九章算术
《九章算术》中已经有了系统的开平方和开立方方法。这个方法后来是在明代被引入珠算体系,也是我们手算开方常用的理论依据。这个方法可以逐位估计根的每一位上的值,逐步逼近真实值。如果可以开方开得尽,就能算出精确值。对于无理数,可以精确到小数点后任意位。
九章算术中的方法,首先假设了被开方数,我们记作N吧。还有前根和后根,由于前根至少比后根高一位,所以设N=(10a+b)^2。展开这个式子

首先要估值a,然后

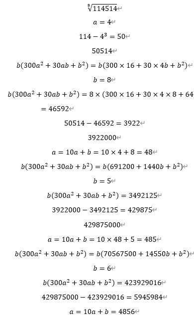
如果a的估值能令上式为0,则b=0。a就是正确的根,反之把a的估值代入,把a更新为新的10a+b,迭代运算。比如求解根号下114514,首先要分节。分节是开方运算中的一个操作,由于最大的个位数是9,9的平方是81,是两位数。所以开平方时,被开方数会被两位一分节,所以114514可以分为11、45和14三节。开方后的结果的整数部分是三位数。
先看11这节,先估计前根a。由于9<11<16,所以可以令a取值为3,因为3的平方等于9。所以

为了计算下一位,11-9=2,后面再添一节。这是因为,商每增加一位,被开方数就要增加两位。余数就变成了245,用上面的式子和245比较,估计适当的b的值,使得上式的结果接近245。通过试商,可以确定b=4的时候,64*4=256>245了,所以b应该取值为3,上式计算结果为189。再计算245-189作为新的余数,a更新称为新的值10a+b,也就是当前a=3*10+3=33。245-189=56,在添加一节就是5614。此时的a已经是33。重复b(20a+b)和5614比较,试商确定b的取值,由于669*9=6021,668*8=5344,所以b应该取值为8。然后5614-5344=270作为新的余数,a的值更新为10a+b=338。上述的步骤如图

至此已经算完了整数部分。为了继续计算后续的小数部分,我们可以继续再114514后面添加0,商的小数点加一位,余数就要增加两位。所以270添加一节变成了27000,b(20a+b)=b(20*338+b)=b(6760+b)和27000比较,试商求b的取值。b应该取3合适,因为如果b=4,4*(6760+4)=27056>27000了。所以b=3,也就是根的小数点第一位等于3。此时余数更新,27000-3*(6760+3)=.6711。a更新为10a+b=10*338+3=3383。如图

我们计算到了a=33839,由于已知了根的整数部分是三位数,所以上述结果表明我们已经计算到了小数点后两位,即338.39。只要继续重复计算下去,后续的小数点位会逐个被算出。上面的算法,每次都是比较b(20a+b)和当前的余数,也就是说问题的关键点在于估计b,通过试商寻找b的合适取值。而且随着计算的进行,a的值越来越大,b(20a+b)的计算量也在增大。如果把b(20a+b)展开得到

由于a的取值越来越大,20a会非常大,而b的取值范围是0到9的整数,所以这个式子的主值就是20ab的部分,我们可以忽略b的平方项,直接比较余数和20ab,进而估计b的取值

比如前面的27000/6760约等于3.994,所以取下界近似为3;671100/67660约等于9.918,所以取下界约等于9。随着计算进行,这种线性关系越来越明显。比如再计算下一位小数点,6207900/(20*33839)约等于9.172,所以下一位小数点必然是9。于是更精确的结果为338.399。可以用计算器验证结果

对比我们手算的结果338.399,说明我们手算的结果可以逼近精确结果。
九章算术也涉及开立方问题,和开平方类似。我们需要将被开方数分节,但是要按三位一分节。每次余数要添加三位数更新。

开立方的操作和开平方一样,不同的是每次试商确定b的取值所用的关系式变了。同样我们可以验证一波,尝试对114514开立方。按照三位一节的分节,114514可以被分成114和514两节部分。因此开立方结果的整数必然有两位数。首先看114,它是介于4的立方64和5的立方125之间,所以首位一定是4。步骤如图

按图中的步骤,我们计算到了小数点后两位,即48.56。可以用计算器验证,这个结果的确是精确到了小数点后两位的结果。
无论是开立方还是开平方,核心在于估值b。所以如何快速而准确的确定每一次迭代中b的值,成为了一个问题。按照前面的结论,随着a的值越来越大,b的值会和余数的值近似成比例。因此最常用的估值技巧就是余数除以b的一次方的系数。另外古人也有些其他方法估值,比如开平方的时候,为了降低估值难度,在等式两边同时除以2,这样计算量会降低。

这么做的好处是可以让右边的b的二次方项相比于b的一次方项变得更小,可以忽略b的二次方项,近似估计出b的值。同理在开立方时,两侧同时除以3。这个在珠算里称为余数二分、余数三分。还有两侧同时除以20a和300a^2的方法,称为二倍根法和三倍根法。这些技巧本质上都是为了减小计算量,使b和余数近似成比例。不过过早地近似可能存在隐患,会使得估值出现错误。不过验算可以修正这种情况,所以在珠算中会使用这些技巧,提高计算速度。
有了开平方、开立方的方法以后,中国古人就掌握了求解二次、三次方程的方法。
二、赵爽注《周髀算经》
三国时代的赵爽在为《周髀算经》做注解的时候,以赵爽弦图给出了“勾股定理”的证明过程。顺带着研究了二次方程的求解方法。

这是赵爽用几何方法证明的完全平方公式。又用图形得出了二次方程的求根公式。因此赵爽是第一个得出一元二次方程的求根公式的人。赵爽也是特有的擅长用图形证明数学命题的人。
九章算术是以问答形式编撰的,缺少证明过程,更贴近于一本题典。后来是魏晋时期的刘徽为这本书做注解,成书《九章算术注》,补充了其中的解题方法的证明过程。因此刘徽是中国古代数学理论的奠基人之一。刘徽不同于之前的数学家,他通名家学说,也就是中国本土的逻辑学。因此他是有记载的第一个主张使用逻辑推理研究数学的人,也是最有希望建立公理化体系的人。刘徽除了最大的成就“割圆术”以外,也从几何角度提出了开平方的近似公式

刘徽之后,祖冲之登场。祖冲之不只是在刘徽的“割圆术”基础上,算出了祖率。祖冲之也研究过二次方程和三次方程的求解。当时求解二次方程、三次方程都是借助几何图形,把问题转化为求边长的问题。这些方法只能求出一些方程的正根,因为负数长度的边不存在,更不用说复数根的情况。但是只求出正数根足以解决当时的现实问题。祖冲之开创了“开差幂”和“开差立”的方法,研究了二次、三次方程的求解问题,遗憾的是他的《缀术》已经失传。
三、贾宪的“增乘开方”
由于之前的数学家研究方程的时候,都是借助几何图形,因此局限于三次以内。贾宪的“增乘开方”把开方次数提升到了高次。而且贾宪也是第一个发现了正整数指数的二项式定理的人,贾宪三角直观地描述了整数次幂的二项式展开式的系数分布规律。贾宪并没有直接用他的二项式定理开高次方,相反地,“增乘开方法”可以推出贾宪三角。
增乘开方法有一套严密的计算程序,可以开任意高次方。开n次方需要假设n个位,从高到低依次排列,假设用N加角标表示,并且角标最大的N的起始值是1,其他的初值均为0。

第一步需要估商,这个和九章算术的算法一样,先分节,确定根的整数部分有几位数。然后估计出根的最高位是多少,记作a,0<a<10的整数。
第二步,增乘开方法要的更新n-1个N,更新的步骤如下

更新的顺序不能更改,必须从高到低,依次迭代。角标最大的N始终保持不变,恒等于1。
第三步要更新余数,余数的起始值就是被开方数m,更新操作如下

第四步,继续更新N,而且是n-1轮更新,因此这步运算次数多。假设第i轮更新,需要更新n-i个N,对应的更新步骤就是

第五步,在完成第四步的全部操作后,就会有新的一系列N和余数m,就可以重复上述操作,继续估商下一位。
需要注意的是,增乘开方中估值的商a不像九章算术中那样,假如在十位上估值a,那么在更新变量时,a就是当作a*10来计算。同理,在百位上的话,就是a*100。
我们可以试试对114514开立方。首先因为是开立方,所以分节按照三位一节划分,所以114514有两节组成,根的整数部分是两位数,最高位的节是114。那么第一次估商应该是4,因为64<114<125,并且4在十位上,所以a=4*10=40。开立方,要设置3个N,分别是N3、N2、N1。N3=1,N2=N1=0。余数m的初值就是被开方数m。所以

先更新一次N

要进行2轮更新,第1轮更新要更新2个N

第2轮更新,更新1个N

这时我们得到一组新的N、m,继续估计下一位的a

这时我们已知了114514的立方根的十位数是4,也就是40多的一个数。接下来要估计的是个位上的数字,这个值的估算一般凭经验而言,近似是m/N1。但是就和我前面提到的一样,过早地使用近似可能会估计错误,不过可以通过验算修正。50514/4800必然大于10,所以a的估计值应该在10附近。如果估计为9的话,那么进行下面的操作

我们发现m会变成负数,这就说明我们的a估计太大了,所以再试试8。

这就说明个位数估计应该是8。接着算

算到这里已经确定了114514的立方根的整数部分应该是48,接着要计算小数点后一位。此时的m/N1=3922/6912约为0.5,因此小数点后一位可以估计为0.5。

这就说明小数点后一位应该是0.5,如果不放心可以试试更大的0.6。如果m更新的结果为负数,那就是估计大了。也就是说增乘开方法的估商也是需要试错的,我目前尚未找到可以准确判断出正确估值的办法。判别的唯一方法就是看余数是否小于零。如果余数算到了等于0的情况,那就迭代停止,说明被开方数可以开尽。否则就已知循环计算下去,直到获得满意的精度。
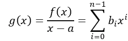
算到这里我们也就知道了增乘开方法的计算过程,这种方法也是逐位逼近根的数值解法。除了开高次方,增乘开方法还有其他用途。假设有一个多项式函数

这也是一元n次方程的一般形式。按照以往的经验,如果我们已知一个a是这个函数的零点,那么就有

这是代数学里的综合除法,根据因式定理,若a是f(x)的一个零点,那么g(x)是一个一元n-1次方程的形式。否则,f(x)和g(x)的关系如下

这里有一个R的项,称为余式。现在我们就明白了,增乘开方法其实是在做综合除法。如果估商a是f(x)的一个零点,那么我们就会得到新的一元n-1次方程,继续求零点。否则就会产生余式,说明当前估商a不是零点,需要继续估商,循环迭代。所谓m开n次方,其实就是f(x)的一个特殊情况

此时的函数的零点就是m开n次方的根。而且余式R的值必为f(a)。增乘开方法还影响了后来的南宋数学家秦九韶,秦九韶发明了秦九韶算法,可以作为高次多项式求值的快速算法。秦九韶算法是我们在人教版高中数学的选修内容,利用此法可以把一个n次多项式转化为n个一次多项式之间的运算。从算法角度分析,秦九韶算法优于直接计算n次多项式的值的方法。秦九韶领先了西方500多年发明了该算法。
一开始我也说过,增乘开方法可以推出贾宪三角的。
当增乘开方法中的初商a取值为1时,有

在后续的所有步骤中,第一个N始终为1,也就是二项式展开后,首项的系数一直等于1,对应贾宪三角中的左侧的一系列1。然后看增乘开方法中,N的更新规律。每一轮更新,需要更新的N就会较少,较之上一轮少更新一个。成等差数列关系。每一个N的更新次数总是和上一个N的更新次数相关,所以

这个求和公式又称为朱世杰恒等式,朱世杰是我国元代的著名数学家。用该恒等式可以知道每一个N对于应的更新次数

这正好是二项式展开式的各项系数的分布。而余数对应更新次数恒为1。贾宪三角就可以被推出。
有了增乘开方法后,高次方程的求解也就有了基础。贾宪之后,北宋数学家刘益发明了正负开方法,该方法可以求出高次方程的一个正根。正负开方法要等到秦九韶的时候才被进一步推广开来。正负开方法继承了贾宪的增乘开方法,将高次方程中各次数项的系数放置到对应的N中,然后延续增乘开方法的思路就可以求出高次方程的一个正根。比如对于一个一般的一元二次方程

用正负开方法

由于古人列方程习惯把常数项置于等号右侧,因此-3240变成了3240。估计初商之前,需要用18除3240,也就是最高次项系数置1再估值。对3240/18=180进行分节估商,得出十位数上估值为1。接着按照增乘开方法

由于是2次方程,所以只更新1轮,更新1个N。

得到新的一组N

估计新的商,参考1980/306约等于6。代入6

显然6太大了,所以应该取值为5。

余数为0,代表迭代停止。也就是说这个方程的一个正根就是10+5=15。也可以试试更高次的,例如

这是算学宝鉴里的算例,是一个四次方程,用正负开方法计算

计算结果为12。理论上,更高次的方程都可以套用这种方法,可以求出一个正根。
以上的这些方法都有一个共同的特征,就是估值。估值存在一个问题,就是试商可能会估计的偏大,而且估计错误以后,需要经过进一步计算能发现,然后要退回上一步重新估计,这就产生了了试错成本,浪费了算力。于是又有了一种改进方案。
三、累减开方
累减开方法为了避免估商试错,于是用多次减法代替了除法。做减法的次数就是合适的商,而且减法运算较之除法,节省了算力资源。累减开方法吸收了唐代的招差术、北宋的垛积术,构造等差数列和高阶等差数列,进行多次减法计算,代替以往的除法试商。例如对114514开平方,分节可以得到11、45和14三节。按九章算术的方法,可以知道根的整数部分是三位数,最高位的数应该是3,因为11介于9和16之间,取下界为3。11-3*3=2,下一节落下45,因此得到245。由于

那么

显然和连续奇数求和有关。所以从245里连续减去20*a+1、20*a+3、20*a+5……直到余数小于等于20*a为止。a代表当前的估值,也就是3。

由于56已经小于20*3+7=67了,所以第二个估商应该是3,因为我们做了3次减法。所以此时a=33了,我们已经算出了前两位数。56继续添加下一节,得到5614。

因为270小于20*33+17=677,减法运算了8次。所以估值应该是8,a更新为338。继续计算小数点后的精确结果,只要每次添加一节,也就是两位数,就能持续迭代。对于高次开方,那么累减数列就是高阶等差数列,这就需要借助垛积术来解决。
截止到宋元以后,中国古代数学基本陷入了停滞的困境。直到西方人的到来,西方数学传入中国,促进了东西方数学交流。从明朝中后期到晚清这段时间里,中国传统数学开始落后于世界,本土的数学家们虽然有所成果,但是发展速度已经比不上宋元时期的那种高速发展速度。宋元时代的巅峰基本在朱世杰以后就终结了,朱世杰的《四元玉鉴》是中国古代数学发展的一个标志性著作。金代的李冶开创了天元术,元代的朱世杰完善并规范了天元术,使中国古代数学出现了符号运算。《四元玉鉴》首次提出了要以高度抽象的思维研究数学,可惜天元术这种抽象化、符号化的研究方法没能被传承并发展,甚至《四元玉鉴》长期被遗忘。绝迹几百年后,在康熙年间才被重新翻印发行。
把视角放到争议较大的《算学宝鉴》上,《算学宝鉴》里有一种解高次方程的数值解法,一直被营销号说成是王文素发明了导数。开方和解高次方程是并行发展的,我们先看看王文素的开高次方的方法,他是基于贾宪三角的一种方法。贾宪三角被改成了一个直角三角形,现在称为“王氏三角”

王文素有一个开4次方的算例,对20736开四次方

这个方法一开始和九章算术的思路一样,把20736按照4位一节分节,得到2和0736两节。由此可以断定结果的整数部分是两位数。因为2是介于1和16之间的数,所以十位数必然是1,也就是结果一定是大于10的数。表格中<1><4><6><4><1>其实是二项式的4次方展开的系数。假设根是a+b的形式,首先估计出了a=10,所以要求出b就能算出正确的根。

由于10736等号右侧的b的一次方项的系数是4000,按照近似线性的估计,b应该接近10736除以4000,所以估计b=2。把b代入,等号成立。因此迭代结束,根等于10+2=12。
王文素也给出了一个大数字开5次方的算例

这里由于根是3位数,因此迭代步骤较多,而且数字很大。在得出a=200,b=50后,从第10步开始,我们发现了1、2、3、4四个系数,而这四个系数,刚好是上面得第7步的各项指数。这也是很多垃圾营销号造谣的依据,他们认为此处王文素使用了幂函数求导。其实不然,这一步计算的依据其实是在第9步计算后发现余数不为0,由此可以确定在商乙(也就是b)的后面必然存在c可以抹平这个差值。所以

用下面b+c的式子减去上面的b的式子

也就是说1、2、3、4实际上是因为二项式展开后,第二项的系数必然包含C(n,1)=n,括号内都是c的一次方项的系数,所以出现了指数变系数的过程。然后代入b的值,可以估计c的值。
我也试了一下其他数字,比如114514开4次方。

前几步思路和九章算术一致,估计除了根的整数部分有两位数。最高位上是1,所以a=10。但是在估计b的时候,104514/4000约等于26,估计b的值最大是9。因此近似线性关系误差很大了,先试试b=9

显然b估计得太大了,于是改为b=8。

此时可算出整数部分是10+8=18。接着要计算小数点后一位,104514-94976=9538。为了抹平9538这个差值,需要引入c。

代入b=8,

当c=0.4时,

说明0.4太大,c应该估值为0.3

这个值接更加近104514,此时已经计算出了18.3,这是精确到小数点后一位时的根。接着再不断地引入后续的差值d、e、f……就能逐位估算出后面的小数点。
有了王文素开高次方的算法,就可以看他的解高次方程的算法了。以其中的一个四次方程为例


过程中有一个生廉表的概念。观察一下表格

在这个算表中可以发现,方程的各次方项的系数依次放置在阶梯上,就是所谓的“隅”。生廉的规则则是利用了贾宪三角,比如17对应的是x的三次方项的系数,廉率<3>就是贾宪三角中3次方对应的那一行的一个系数。廉的算法则是((a*x+b)*x+c)*x+d……有点类似于九章算术里的迭代规则。如果按现代的写法,把x改成a+b,用二项式展开

所以这种数值解法是脱胎于正负开方法,从筹算转变到了更适应珠算的一种算法,完全看不出所谓的导数的思想。如果非要强行关联,那只有估值的时候,余数和一次方项的近似线性有一点点关系。这种方法的核心是二项式定理。而且只能用于代数方程,求得的一个正根足以满足当时的生产要求。对于其他的函数构成的超越方程,无法使用。
四、中国古代数学的断档
从明初到明末,可以说是中国算学的衰落时期。以至于徐光启感慨“古学废绝”,明末的人基本可以认定为没学过《四元玉鉴》,甚至可能都不知道。在两百年的断档时期里,很多宋元时期的数学成果都被遗忘。被吹捧的《算学宝鉴》从内容来看,基本和南宋时期的水平差不多。侧面印证了两百年的停滞,
分析这一现象的原因,不外乎理学和八股。理学的创立,对算学的影响甚大,古代曾兴起过一种象数神秘主义。秦九韶曾经一度认为“道数同源”,试图找到一种“通神明”的数学。显然这种思想很不切实际,秦九韶只能放弃,转而认为数学是“经世务类万物”的学问。杨辉通过研究纵横图(幻方),解释了洛书的本质,批判了象数神秘主义。但是这些先进思想没能传承下来,反倒是理学这种思想被统治者利用。时至今日,依然不乏有些人拿着洛书、道经,喊着“老祖宗几千年的智慧”,觉得自己发现了什么了不得的终极奥义,实则是在宣扬象数神秘主义。
科举制度本身没有什么问题,毕竟现在世界上仍有公务员考试。但是八股取士导致了知识分子的知识面变窄。算学本来是作为科举考试的内容,但是八股取士后,知识分子的精力都耗费在了孔孟圣贤书,理学这样的唯心主义的哲学观念里,束缚了人的思想。而且明代以后,筹算基本灭绝,取而代之的是珠算。珠算取代筹算,本身是计算工具的一次变革,但如果究其背后的原因,就会发现这种现象标志着算学彻底沦为了工具。明代以前,数学著作都是以筹算的方式撰写的计算、证明,珠算一直是会计的工具。如果筹算消失了,那就意味着明以前的著作就必须要相应地改编成珠算版本,这一过程中就会有古籍失传的风险。而且珠算取代筹算,也暗示着专业的数学家变少了,记账的会计变多了。这种氛围下,似乎数学家就成了没出息的职业。明代是珠算发达的时代,同时也是数学理论没落的时代。
传教士来华以后,西方数学开始传入中国。中国的知识分子里,也出现了一批接受外来思想的人,比如徐光启、李之藻、王征这些人。他们翻译引进了一些西方的数理著作,尤其是《几何原本》影响最大。其中首创翻译的数学名词,至今还有沿用。
清朝开始,中国传统数学基本就开始了整理前人的著作的工作。伴随着西方数学的传入,也出现了中西数学兼通的数学家。像王锡阐、梅文鼎,梅文鼎更是中西学的集大成者。还有明安图、年希尧(年大将军的弟弟)等官方研究西方数理知识的人物。后来乾嘉学派的兴起,一定程度上保留传承了失落的中国古代数学。清代数学主要是引进了西方数学,也传承并发展了中国古代数学,较之宋元有所进步,但是仍然落后于世界。李锐的《畴人传》记述了从上古到当时的天文数学家们的生平和成就,是研究中国古代数学的重要资料。
中国本土数学的成就最高的当属李善兰,李善兰独立地研究了定积分,尖锥术是最接近微积分学的数学成就。李善兰的尖锥术是从无穷级数求和的角度得出了计算曲边图形的尺寸的方法,在牛顿——莱布尼兹方法问世前,西方人也是在利用级数求和的方法求解一些定积分。但是随着**战争以后,大量的西方数学知识涌入中国,李善兰并未能继续自己的研究,中国本土数学只能被迫和世界合流,不再独立发展。李善兰面对这一困境,并未气馁,而是积极学习并引进先进的数学知识,为后人筑基,促进了中国数学的进步。
