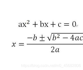
解方程之求根公式
求根公式如下:

a为二次项系数,b为一次项系数,c是常数。
一元二次ax^2 +bx+c=0可用求根公式x= 求解,它是由方程系数直接把根表示出来的公式。这个公式早在公元9世纪由中亚细亚的阿尔·花拉子模给出。
拓展资料:
南宋数学家秦九韶至晚在1247 年就已经发现一元三次方程的求根公式,欧洲人在400 多年后才发现,但在中国的课本上这个公式仍是以那个欧洲人的名字来命名的。
一元三次方程ax^3 +bx^2 +cx+d=0的求根公式是1545年由意大利的卡当发表在
《关于代数的大法》
一书中,人们就把它叫做“卡当公式”。可是事实上,发现公式的人并不是卡当本从,而是塔塔利亚(Tartaglia N.,约 1499~1557).发现此公式。
