矩阵论的所有文章,主要内容参考北航赵迪老师的课件
[注]由于矩阵论对计算机比较重要,所以选修了这门课,但不是专业搞数学的,所以存在很多口语化描述,而且对很多东西理解不是很正确与透彻,欢迎大家指正。我可能间歇性忙,但有空一定会回复修改的。
矩阵论
1. 准备知识——复数域上矩阵,Hermite变换
1.准备知识——复数域上的内积域正交阵
1.准备知识——Hermite阵,二次型,矩阵合同,正定阵,幂0阵,幂等阵,矩阵的秩
2. 矩阵分解——SVD准备知识——奇异值
2. 矩阵分解——SVD
2. 矩阵分解——QR分解
2. 矩阵分解——正定阵分解
2. 矩阵分解——单阵谱分解
2. 矩阵分解——正规分解——正规阵
2. 矩阵分解——正规谱分解
2. 矩阵分解——高低分解
3. 矩阵函数——常见解析函数
3. 矩阵函数——谱公式,幂0与泰勒计算矩阵函数
3. 矩阵函数——矩阵函数求导
4. 矩阵运算——观察法求矩阵特征值特征向量
4. 矩阵运算——张量积
4. 矩阵运算——矩阵拉直
4.矩阵运算——广义逆——加号逆定义性质与特殊矩阵的加号逆
4. 矩阵运算——广义逆——加号逆的计算
4. 矩阵运算——广义逆——加号逆应用
4. 矩阵运算——广义逆——减号逆
5. 线性空间与线性变换——线性空间
5. 线性空间与线性变换——生成子空间
5. 线性空间与线性变换——线性映射与自然基分解,线性变换
6. 正规方程与矩阵方程求解
7. 范数理论——基本概念——向量范数与矩阵范数
7.范数理论——基本概念——矩阵范数生成向量范数&谱范不等式
7. 矩阵理论——算子范数
7.范数理论——范数估计——许尔估计&谱估计
7. 范数理论——非负/正矩阵
8. 常用矩阵总结——秩1矩阵,优阵(单位正交阵),Hermite阵
8. 常用矩阵总结——镜面阵,正定阵
8. 常用矩阵总结——单阵,正规阵,幂0阵,幂等阵,循环阵

4.1 特根特向求法
4.1.1 特根求法
若 n n n 阶方阵 A = ( a i j ) A=(a_{ij}) A=(aij) 中 行和=常数k ,则常数 k k k 为 A A A 的一个特征根,全1向量 X = ( 1 ⋮ 1 ) X=\left( \begin{matrix} 1\\\vdots\\1 \end{matrix} \right) X= 1⋮1 为 k k k 相应的特向
若 n n n 阶方阵 A = ( a i j ) A=(a_{ij}) A=(aij) 中 列和=常数k ,则常数 k k k 为 A T A^T AT 的一个特根,全1向量 X = ( 1 ⋮ 1 ) X=\left( \begin{matrix} 1\\\vdots\\1 \end{matrix} \right) X= 1⋮1 为 A T A^T AT 的一个特向
eg
A
=
(
1
2
0
−
1
)
,
B
=
(
3
3
3
−
1
−
1
−
1
−
1
−
1
−
1
)
,
可知
A
与
B
都是列和为
1
的矩阵,可以验证
X
=
(
1
1
)
,
A
X
=
(
3
−
1
)
,
Y
=
(
1
1
1
)
,
B
Y
=
(
3
3
3
−
1
−
1
−
1
−
1
−
1
−
1
)
(
1
1
1
)
=
(
9
−
3
−
3
)
故全一向量不是列和矩阵的特征向量
而对于
A
T
=
(
1
0
2
−
1
)
与
B
T
=
(
3
−
1
−
1
3
−
1
−
1
3
−
1
−
1
)
为行和矩阵,
,特征值
1
对象的特征向量为全一向量
\begin{aligned} &A=\left( \begin{matrix} 1&2\\0&-1 \end{matrix} \right),B=\left( \begin{matrix} 3&3&3\\-1&-1&-1\\-1&-1&-1 \end{matrix} \right),可知A与B都是列和为1的矩阵,可以验证\\ &X=\left( \begin{matrix} 1\\1 \end{matrix} \right),AX=\left( \begin{matrix} 3\\-1 \end{matrix} \right),Y=\left( \begin{matrix} 1\\1\\1 \end{matrix} \right),BY=\left( \begin{matrix} 3&3&3\\-1&-1&-1\\-1&-1&-1 \end{matrix} \right)\left( \begin{matrix} 1\\1\\1 \end{matrix} \right)=\left( \begin{matrix} 9\\-3\\-3 \end{matrix} \right)\\ &故全一向量不是列和矩阵的特征向量\\ &而对于A^T=\left( \begin{matrix} 1&0\\2&-1 \end{matrix} \right)与B^T=\left( \begin{matrix} 3&-1&-1\\3&-1&-1\\3&-1&-1 \end{matrix} \right)为行和矩阵, \end{aligned},特征值1对象的特征向量为全一向量
A=(102−1),B=
3−1−13−1−13−1−1
,可知A与B都是列和为1的矩阵,可以验证X=(11),AX=(3−1),Y=
111
,BY=
3−1−13−1−13−1−1
111
=
9−3−3
故全一向量不是列和矩阵的特征向量而对于AT=(120−1)与BT=
333−1−1−1−1−1−1
为行和矩阵,,特征值1对象的特征向量为全一向量
已知二阶阵 A = ( 3 1 2 2 ) ( 行和阵 ) , 特根为 4 , t r ( A ) − 4 = 1 , 相应特向 X = ( 1 1 ) , Y = ( 1 − 2 ) X , Y 线性无关,所以 P = ( X , Y ) = ( 1 1 1 − 2 ) 为可逆阵,故 A 可相似对角化为对角阵 P − 1 A P = D = ( 4 0 0 1 ) , 故可知 A 为单阵 \begin{aligned} &已知二阶阵A=\left( \begin{matrix} 3&1\\2&2 \end{matrix} \right)(行和阵),特根为4,tr(A)-4=1,相应特向X=\left( \begin{matrix} 1\\1 \end{matrix} \right),Y=\left( \begin{matrix} 1\\-2 \end{matrix} \right)\\ &X,Y线性无关,所以P=\left( X,Y \right)=\left( \begin{matrix} 1&1\\1&-2 \end{matrix} \right)为可逆阵,故A可相似对角化为对角阵\\ &P^{-1}AP=D=\left( \begin{matrix} 4&0\\ 0&1 \end{matrix} \right),故可知A为单阵 \end{aligned} 已知二阶阵A=(3212)(行和阵),特根为4,tr(A)−4=1,相应特向X=(11),Y=(1−2)X,Y线性无关,所以P=(X,Y)=(111−2)为可逆阵,故A可相似对角化为对角阵P−1AP=D=(4001),故可知A为单阵
实对称阵特根为实数
4.1.2 特征向量
若 ( A − λ 1 I ) P = 0 , 则 P 中的列都是 λ 1 的特征向量 若(A-\lambda_1I)P=0,则P中的列都是\lambda_1的特征向量 若(A−λ1I)P=0,则P中的列都是λ1的特征向量
证明:
(
A
−
λ
1
I
)
P
=
0
⟺
A
P
=
λ
1
P
,
令
P
=
(
X
1
,
⋯
,
X
n
)
,按列分块,则有
A
(
X
1
,
⋯
,
X
n
)
=
λ
1
(
X
1
,
⋯
,
X
n
)
⇒
(
A
X
1
,
⋯
,
A
X
n
)
=
(
λ
1
X
1
,
⋯
,
λ
n
X
n
)
则
P
中各列都是
λ
1
的特征向量
\begin{aligned} &(A-\lambda_1I)P=0\iff AP=\lambda_1 P,令P=(X_1,\cdots,X_n),按列分块,则有\\ &A(X_1,\cdots,X_n)=\lambda_1(X_1,\cdots,X_n)\Rightarrow (AX_1,\cdots,AX_n)=(\lambda_1X_1,\cdots,\lambda_nX_n)\\ &则P中各列都是\lambda_1的特征向量 \end{aligned}
(A−λ1I)P=0⟺AP=λ1P,令P=(X1,⋯,Xn),按列分块,则有A(X1,⋯,Xn)=λ1(X1,⋯,Xn)⇒(AX1,⋯,AXn)=(λ1X1,⋯,λnXn)则P中各列都是λ1的特征向量
a. 两个互异特根的特向
若
(
A
−
λ
1
I
)
(
A
−
λ
2
I
)
=
0
,
则
(
A
−
λ
2
I
)
的列都是
λ
1
的特向,
(
A
−
λ
1
I
)
的列是
λ
2
的特向
若 (A-\lambda_1I)(A-\lambda_2I)=0,则(A-\lambda_2I)的列都是\lambda_1的特向,(A-\lambda_1I)的列是\lambda_2的特向
若(A−λ1I)(A−λ2I)=0,则(A−λ2I)的列都是λ1的特向,(A−λ1I)的列是λ2的特向
eg:
A
=
(
1
0
−
2
0
0
0
−
2
0
4
)
(
为正规
H
单阵
)
,全体特征根
λ
(
A
)
=
{
5
,
0
,
0
}
,
不同特征根为
5
,
0
由于
A
是单阵,必有
(
A
−
λ
1
I
)
(
A
−
λ
2
I
)
=
(
A
−
5
I
)
(
A
−
0
I
)
=
0
其中,
λ
1
=
5
对应的特征向量为
A
中的一个列向量
(
1
0
−
2
)
,
λ
2
=
0
对应的特征向量为
A
−
5
I
=
(
−
4
0
−
2
0
−
5
0
−
2
0
−
1
)
的列向量
分别为
(
0
1
0
)
(
2
0
1
)
\begin{aligned} &A=\left( \begin{matrix} 1&0&-2\\0&0&0\\-2&0&4 \end{matrix} \right)(为正规H单阵),全体特征根\lambda(A)=\{5,0,0\},不同特征根为5,0\\ &由于A是单阵,必有(A-\lambda_1I)(A-\lambda_2I)=(A-5I)(A-0I)=0\\ &其中,\lambda_1=5对应的特征向量为A中的一个列向量\left( \begin{matrix} 1\\0\\-2 \end{matrix} \right),\\ &\lambda_2=0对应的特征向量为A-5I=\left( \begin{matrix} -4&0&-2\\0&-5&0\\-2&0&-1 \end{matrix} \right)的列向量\\ &分别为 \left( \begin{matrix} 0\\1\\0 \end{matrix} \right)\left( \begin{matrix} 2\\0\\1 \end{matrix} \right) \end{aligned}
A=
10−2000−204
(为正规H单阵),全体特征根λ(A)={5,0,0},不同特征根为5,0由于A是单阵,必有(A−λ1I)(A−λ2I)=(A−5I)(A−0I)=0其中,λ1=5对应的特征向量为A中的一个列向量
10−2
,λ2=0对应的特征向量为A−5I=
−40−20−50−20−1
的列向量分别为
010
201

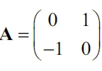
A = ( 1 0 − 1 0 ) , A 2 = A 为幂等阵,则 A 中非 0 列 ( 1 − 1 ) 是 λ 1 = 1 的特征向量 A=\left( \begin{matrix} 1&0\\-1&0 \end{matrix} \right),A^2=A为幂等阵,则A中非0列\left( \begin{matrix} 1\\-1 \end{matrix} \right)是\lambda_1=1的特征向量 A=(1−100),A2=A为幂等阵,则A中非0列(1−1)是λ1=1的特征向量

A
2
=
(
0
1
−
1
0
)
⋅
(
0
1
−
1
0
)
=
−
I
⇒
A
2
+
I
=
0
⟺
(
A
−
i
I
)
(
A
+
i
I
)
=
0
故
(
A
+
i
I
)
中列向量
(
i
−
1
)
为
i
的特向,
(
A
−
i
I
)
中列向量
(
−
i
−
1
)
为
−
i
的特向
\begin{aligned} &A^2=\left( \begin{matrix} 0&1\\-1&0 \end{matrix} \right)\cdot\left( \begin{matrix} 0&1\\-1&0 \end{matrix} \right)=-I\Rightarrow A^2+I=0\iff(A-iI)(A+iI)=0\\ &故(A+iI)中列向量 \left(\begin{matrix}i\\-1\end{matrix}\right) 为i的特向,(A-iI)中列向量 \left(\begin{matrix}-i\\-1\end{matrix}\right)为-i的特向 \end{aligned}
A2=(0−110)⋅(0−110)=−I⇒A2+I=0⟺(A−iI)(A+iI)=0故(A+iI)中列向量(i−1)为i的特向,(A−iI)中列向量(−i−1)为−i的特向
b. 三个互异特根的特向
若 ( A − λ 1 I ) ( A − λ 2 I ) ( A − λ 3 I ) = 0 , 则 ( A − λ 2 I ) ( A − λ 3 I ) 中非零列为 λ 1 的特向 ( A − λ 1 I ) ( A − λ 3 I ) 中非零列为 λ 2 的特向 ( A − λ 1 I ) ( A − λ 2 I ) 中非零列为 λ 3 的特向 \begin{aligned} 若&(A-\lambda_1I)(A-\lambda_2I)(A-\lambda_3I)=0,则\\ &(A-\lambda_2I)(A-\lambda_3I)中非零列为\lambda_1的特向\\ &(A-\lambda_1I)(A-\lambda_3I)中非零列为\lambda_2的特向\\ &(A-\lambda_1I)(A-\lambda_2I)中非零列为\lambda_3的特向 \end{aligned} 若(A−λ1I)(A−λ2I)(A−λ3I)=0,则(A−λ2I)(A−λ3I)中非零列为λ1的特向(A−λ1I)(A−λ3I)中非零列为λ2的特向(A−λ1I)(A−λ2I)中非零列为λ3的特向
eg
A
=
(
−
1
i
0
−
i
0
−
i
0
i
−
i
)
,求特征向量
A=\left( \begin{matrix} -1&i&0\\-i&0&-i\\0&i&-i \end{matrix} \right),求特征向量
A=
−1−i0i0i0−i−i
,求特征向量
由特征多项式计算得 λ ( A ) = { 1 , − 1 , 2 } , 3 阶方阵有 3 个互异特征根,故 A 为单阵 且有 0 化式 ( x − 1 ) ( x + 1 ) ( x − 2 ) 成立,即 ( A − I ) ( A + I ) ( A − 2 I ) = 0 成立, 可知 λ 1 = 1 , λ 2 = − 1 , λ 3 = 2 对应的特征向量 分别为 ( A + I ) ( A − 2 I ) , ( A − I ) ( A − 2 I ) , ( A − I ) ( A + I ) 的列向量 , 即有 X 1 = ( 1 − 2 i 1 ) X 2 = ( − 1 0 1 ) , X 3 = ( 1 i 1 ) , 可令 U 阵 Q = ( X 1 6 , X 2 2 , X 3 3 ) , 必有 Q − 1 A Q = D = ( 1 − 1 − 2 ) \begin{aligned} &由特征多项式计算得\lambda(A)=\{1,-1,2\},3阶方阵有3个互异特征根,故A为单阵\\ &且有0化式(x-1)(x+1)(x-2)成立,即(A-I)(A+I)(A-2I)=0成立,\\ &可知\lambda_1=1,\lambda_2=-1,\lambda_3=2对应的特征向量\\ &分别为(A+I)(A-2I),(A-I)(A-2I),(A-I)(A+I)的列向量,即有X_1=\left( \begin{matrix} 1\\-2i\\1 \end{matrix} \right)\\ &X_2=\left( \begin{matrix} -1\\0\\1 \end{matrix} \right),X_3=\left( \begin{matrix} 1\\i\\1 \end{matrix} \right),可令U阵Q=\left( \frac{X_1}{\sqrt{6}},\frac{X_2}{\sqrt{2}},\frac{X_3}{\sqrt{3}} \right),必有Q^{-1}AQ=D=\left( \begin{matrix} 1&&\\ &-1&\\ &&-2 \end{matrix} \right) \end{aligned} 由特征多项式计算得λ(A)={1,−1,2},3阶方阵有3个互异特征根,故A为单阵且有0化式(x−1)(x+1)(x−2)成立,即(A−I)(A+I)(A−2I)=0成立,可知λ1=1,λ2=−1,λ3=2对应的特征向量分别为(A+I)(A−2I),(A−I)(A−2I),(A−I)(A+I)的列向量,即有X1= 1−2i1 X2= −101 ,X3= 1i1 ,可令U阵Q=(6X1,2X2,3X3),必有Q−1AQ=D= 1−1−2
c. 重根的特向
若 ( A − λ I ) 2 = 0 , 则 ( A − λ I ) 中非 0 列都是 λ 的特向 S P : 若 A 2 = 0 , 则 A 中非 0 列都是 λ 的特向 \begin{aligned} &若(A-\lambda I)^2=0,则(A-\lambda I)中非0列都是\lambda的特向\\ &SP:若A^2=0,则A中非0列都是\lambda 的特向 \end{aligned} 若(A−λI)2=0,则(A−λI)中非0列都是λ的特向SP:若A2=0,则A中非0列都是λ的特向
eg

A = ( 2 0 0 1 1 1 1 − 1 3 ) ,其 A 的特向 A=\left( \begin{matrix} 2&0&0\\1&1&1\\1&-1&3 \end{matrix} \right),其A的特向 A= 21101−1013 ,其A的特向
λ ( A ) = { 2 , 2 , 2 } , 0 化式为 ( x − 2 ) 3 ,且 ( A − 2 I ) 2 = ( 0 0 0 1 − 1 1 1 − 1 1 ) ( 0 0 0 1 − 1 1 1 − 1 1 ) = 0 可见其特向为 ( 0 1 1 ) , 且三重根 λ = 2 只有一个特向,所以 A 不是单阵 \begin{aligned} &\lambda(A)=\{2,2,2\},0化式为(x-2)^3,且 (A-2I)^2=\left( \begin{matrix} 0&0&0\\1&-1&1\\1&-1&1 \end{matrix} \right)\left( \begin{matrix} 0&0&0\\1&-1&1\\1&-1&1 \end{matrix} \right)=0\\ &可见其特向为 \left( \begin{matrix} 0\\1\\1 \end{matrix} \right),且三重根\lambda=2只有一个特向,所以A不是单阵 \end{aligned} λ(A)={2,2,2},0化式为(x−2)3,且(A−2I)2= 0110−1−1011 0110−1−1011 =0可见其特向为 011 ,且三重根λ=2只有一个特向,所以A不是单阵
4.1.3 交换定理与公共特征向量
a. Cayley定理
若方阵 A A A 的特征多项式 T ( x ) = ∣ A − x I ∣ = c 0 + c 1 x + c 2 x 2 + ⋯ + c n x n T(x)=\vert A-x I\vert=c_0+c_1x+c_2x^2+\cdots+c_nx^n T(x)=∣A−xI∣=c0+c1x+c2x2+⋯+cnxn ,则 T ( A ) = c 0 I + c 1 A + c 2 A 2 + ⋯ + c n A n = 0 T(A)=c_0I+c_1A+c_2A^2+\cdots+c_nA^n=0 T(A)=c0I+c1A+c2A2+⋯+cnAn=0
- 方阵A的特征多项式可分解为 T ( x ) = ( x − λ 1 ) ( x − λ 2 ) ⋯ ( x − λ n ) T(x)=(x-\lambda_1)(x-\lambda_2)\cdots(x-\lambda_n) T(x)=(x−λ1)(x−λ2)⋯(x−λn) 满足 T ( A ) = ( A − λ 1 I ) ( A − λ 2 I ) ⋯ ( A − λ n I ) = 0 T(A)=(A-\lambda_1I)(A-\lambda_2I)\cdots(A-\lambda_nI)=0 T(A)=(A−λ1I)(A−λ2I)⋯(A−λnI)=0
b. 交换定理
若方阵 A B = B A ( 可交换 ) AB=BA(可交换) AB=BA(可交换) ,任取 A A A 的特根 X X X ,满足 A X = λ 1 X AX=\lambda_1 X AX=λ1X , B X = t 1 X BX=t_1 X BX=t1X ,即 X X X 是 A A A 和 B B B 的公共特征向量
- 若 A , B A,B A,B 可交换,则存在公共特向 X ≠ 0 X\neq 0 X=0
证明:
任取
A
的一个根
λ
1
与特向
X
≠
0
,使
A
X
=
λ
1
X
,设
B
的全体特根为
{
t
1
,
⋯
,
t
n
}
由
C
a
y
l
e
y
定理,
T
(
B
)
=
(
B
−
t
1
I
)
(
B
−
t
2
I
)
⋯
(
B
−
t
n
I
)
=
0
,则有
T
(
B
)
X
=
0
⇒
(
B
−
t
1
I
)
(
B
−
t
2
I
)
⋯
(
B
−
t
n
I
)
X
=
0
1.
若
(
B
−
t
1
I
)
X
=
0
,
则有
B
X
=
t
1
X
,
X
为
A
与
B
的公共特向
2.
若
(
B
−
t
1
I
)
X
≠
0
,
不妨设
(
B
−
t
p
I
)
⋯
(
B
−
t
1
I
)
X
≠
0
,
(
B
−
t
p
+
1
I
)
(
B
−
t
p
I
)
⋯
(
B
−
t
1
I
)
X
=
0
即
(
B
−
t
p
+
1
I
)
Y
=
0
⇒
B
Y
=
t
p
+
1
Y
,
且
Y
X
≠
0
A
Y
=
A
(
B
−
t
p
I
)
⋯
(
B
−
t
1
I
)
X
=
A
B
=
B
A
(
B
−
t
p
I
)
⋯
(
B
−
t
1
I
)
A
X
=
(
B
−
t
p
I
)
⋯
(
B
−
t
1
I
)
λ
1
X
=
λ
1
(
B
−
t
p
I
)
⋯
(
B
−
t
1
I
)
X
,
即
A
Y
=
λ
1
Y
,故
Y
=
(
B
−
t
p
I
)
⋯
(
B
−
t
1
I
)
X
为公共特向
\begin{aligned} &任取A的一个根 \lambda_1与特向X\neq 0,使 AX=\lambda_1 X,设B的全体特根为\{t_1,\cdots,t_n\}\\ &由Cayley定理,T(B)=(B-t_1I)(B-t_2I)\cdots(B-t_nI)=0,则有 T(B)X=0\\ &\Rightarrow (B-t_1I)(B-t_2I)\cdots(B-t_nI)X=0\\ &1.若 (B-t_1I)X=0,则有BX=t_1X,X为A与B的公共特向\\ &2.若 (B-t_1I)X\neq 0,\\ &\quad 不妨设(B-t_pI)\cdots(B-t_1I)X\neq 0,(B-t_{p+1}I)(B-t_pI)\cdots(B-t_1I)X=0\\ &\quad 即 (B-t_{p+1}I)Y=0\Rightarrow BY=t_{p+1}Y,且YX\neq 0\\ &\quad AY=A(B-t_pI)\cdots(B-t_1I)X\xlongequal{AB=BA}(B-t_pI)\cdots(B-t_1I)AX\\ &\quad \quad\quad=(B-t_pI)\cdots(B-t_1I)\lambda_1X=\lambda_1(B-t_pI)\cdots(B-t_1I)X,\\ &\quad 即AY=\lambda_1Y,故Y =(B-t_pI)\cdots(B-t_1I)X为公共特向 \end{aligned}
任取A的一个根λ1与特向X=0,使AX=λ1X,设B的全体特根为{t1,⋯,tn}由Cayley定理,T(B)=(B−t1I)(B−t2I)⋯(B−tnI)=0,则有T(B)X=0⇒(B−t1I)(B−t2I)⋯(B−tnI)X=01.若(B−t1I)X=0,则有BX=t1X,X为A与B的公共特向2.若(B−t1I)X=0,不妨设(B−tpI)⋯(B−t1I)X=0,(B−tp+1I)(B−tpI)⋯(B−t1I)X=0即(B−tp+1I)Y=0⇒BY=tp+1Y,且YX=0AY=A(B−tpI)⋯(B−t1I)XAB=BA(B−tpI)⋯(B−t1I)AX=(B−tpI)⋯(B−t1I)λ1X=λ1(B−tpI)⋯(B−t1I)X,即AY=λ1Y,故Y=(B−tpI)⋯(B−t1I)X为公共特向
c. 可交换的实对称阵为单阵
若 A , B A,B A,B 为 n n n 阶实对称阵,且可交换 A B = B A AB=BA AB=BA ,则存在正交阵 Q Q Q ,使 Q − 1 A Q , Q − 1 B Q Q^{-1}AQ,Q^{-1}BQ Q−1AQ,Q−1BQ 为对角阵
