土壤性质和根系性状是影响高山杜鹃灌丛生态系统根际土壤细菌...
文献解读
原名:Soil properties and root traits are important factors driving rhizosphere soil bacterial and fungal community variations in alpine Rhododendron nitidulum shrub ecosystems along an altitudinal gradient
译名:土壤性质和根系性状是影响高山杜鹃灌丛生态系统根际土壤细菌和真菌群落沿海拔梯度变化的重要因素
期刊:SCIENCE OF THE TOTAL ENVIRONMENT
IF:9.8
发表时间:2023.5
第一作者:Lulu Xie
01摘要
土壤性质和植物根系性状是影响微生物群落的关键因素。然而,关于它们对形成根际土壤微生物群落重要作用的相关研究仍然有限,特别是高山灌木生态系统中的研究更少。为了研究海拔梯度(3300、3600、3900和4200 m)对根际土壤细菌和真菌群落多样性和组成的影响,以及形成根际土壤微生物群落的因素,研究以青藏高原东部折多山高山杜鹃灌丛生态系统为研究对象。结果表明:海拔3600 m处细菌群落多样性和丰富度最低,与3300 m相比,高海拔处的细菌群落多样性和丰富度较高。而真菌丰富度在3300 m处明显低于其他海拔高度,且与土壤性质和根系性状密切相关。低海拔地区(3300 m)根际土壤细菌和真菌群落组成与高海拔地区不同。置换多元方差分析和冗余分析表明,土壤性状(土壤含水量、pH、硝态氮和有效磷)和根系性状(表面积和最大深度)是解释根际土壤细菌和真菌群落变化的主要因素。沿海拔高度确定了特定的细菌和真菌分类群。3300m和3600 m土壤养分有效性低,根表面积大,细菌中Planctomycetota为优势类群; 而真菌类群中Mortierellomycota分布在土壤养分有效性高,根表面积小的海拔3900m和4200 m上。这些结果表明,不同的土壤微生物可能对海拔高度的变化有不同的响应。本研究为研究根际土壤细菌和真菌群落变化的驱动因素提供了新的视角,有助于提高我们对高寒矮叶松灌木生态系统微生物生态学的认识。
02研究背景
土壤微生物在土壤生物地球化学循环中起着重要的作用。细菌和真菌是土壤中数量最多、种类最多的微生物,具有很高的可塑性和对环境的适应性。它们通过矿化有机质、结合土壤矿质层中的腐殖质化合物和为植物提供养分来调节土壤养分的生物有效性,维持生态系统功能。土壤微生物多样性、组成、真菌细菌比取决于海拔高度、土壤性质和植被组成。高山生态系统是全球生物多样性的主要储存库,提供各种生态服务。在高寒生态系统中,气候、植物和土壤性状在较小的空间距离内存在显著差异。海拔梯度可以作为研究土壤微生物变化和适应的天然平台。但是,微生物群落多样性的海拔分布格局较为复杂,呈现出减少、增加、在中海拔处达到高峰等变化趋势,并没有一致的变化格局。此外,由于高寒地区采样进展困难,高寒生态系统土壤微生物群落的海拔分布格局仍然存在争议。
近年来,一些研究沿着海拔梯度研究了土壤细菌和真菌群落多样性、生物量和组成的变化及其重要影响因素。随着海拔梯度的增加,土壤细菌和真菌群落多样性及部分分类群(如酸杆菌)的丰度单调降低,进一步表明中等的N浓度和pH有利于较高的微生物多样性。但Cui等在青藏高原高海拔梯度(2800、3000、3200和3500 m)上观察到不同的土壤细菌和真菌α多样性变化,细菌的Shannon-Wiener多样性呈现先增加后减少的趋势,而真菌多样性则保持稳定。他们还揭示了土壤细菌和真菌群落受特定土壤因素的支配,例如细菌的总磷(P)含量和真菌的硝态氮(NO3−-N)含量。因此,了解高寒生态系统沿海拔梯度的土壤微生物群落格局和驱动因素,对于阐明高寒生态系统的微生物过程和预测高寒生态系统的功能具有重要意义。
土壤养分有效性、植物特性和海拔梯度影响土壤微生物多样性和群落组成。土壤pH值被认为是土壤细菌群落全球分布的决定性因素(如酸杆菌)。土壤碳(C)和氮(N)也是真菌群落组成的决定因素。土壤氮含量过高往往对真菌多样性产生负影响,而土壤中高碳含量可能会促进微生物生长,支持更广泛的真菌分类群(如担子菌门和子囊菌门),并改变微生物的生活策略。此外,土壤微生物群落高度依赖于根系性状。它们可以通过根凋落物输入C来影响土壤微生物群落,也可以通过与植物根系共生的微生物来影响土壤中的微生物群落。例如,与养分获取策略和碳输入有关的根系形态特征(如根径、根长和根表面积)也在碳流通和养分动态过程中驱动土壤微生物群落。其他研究也表明,海拔和植物根系性状之间没有明确的关系。基于根系性状与海拔之间的预期关系,有必要探讨根系性状对海拔梯度上微生物群落的影响。
根际是指围绕植物根部的土壤区域,这个区域的化学、物理和生物性质主要受到根系活动的影响,而微生物群落则依赖于土壤性质和根系性状。虽然对高寒生态系统进行了一些研究,但海拔对由根系性状和土壤性质决定的根际微生物群落结构组成的复杂影响认识仍然有限。杜鹃花广泛分布在海拔2700 ~ 3700 m之间,是高山生态系统中重要的灌木物种,与根际菌根有特殊的关联,对根际微生物群落的多样性和组成有很大的影响。在这项研究中,我们沿着杜鹃花高山灌丛生态系统的海拔梯度收集了根际土壤和根系样品,以探索海拔对根际土壤微生物群落的影响,并研究与土壤性质和根系特征相关的驱动因素。我们提出了以下假设:(1)土壤细菌和真菌群落的α-多样性和组成会随着海拔的变化而改变,并且由于低pH和土壤养分可用性低,高海拔(3900和4200米)的α-多样性较低;(2)土壤性质是沿海拔梯度影响细菌和真菌群落多样性和组成的重要因素;(3)根系形态特征(如长度、表面积和直径)可能与土壤细菌和真菌群落有很大关系,因为它们可以通过在养分流动过程中驱动土壤微生物的C和养分输入来影响土壤微生物群落。
03主要结果
1. 根际土壤性质和根系性状随海拔不同而不同
根际土壤性质随海拔变化而变化(图1)。土壤含水量在3300 m处最低,在高海拔处增加(图1A)。相反,土壤pH值在3300 m处最高,在高海拔处降低(图1B)。NH4+-N浓度在3300 ~ 3600 m先升高,在高海拔(3900和4200 m)后降低,在3600 m处达到最大值(图1D)。而4200 m处NO3−-N浓度显著高于其他海拔高度,3300、3600、3900 m处NO3−-N浓度差异不显著(图1E)。SOC和TN的浓度变化趋势相似,均为4200 > 3600 > 3900 > 3300 m(图1C,F)。TP和SAP的浓度变化趋势均为4200 > 3900 > 3600和3300 m, 3300和3600 m之间无显著差异(图1G,H)。

图1根际土壤特性随海拔的变化
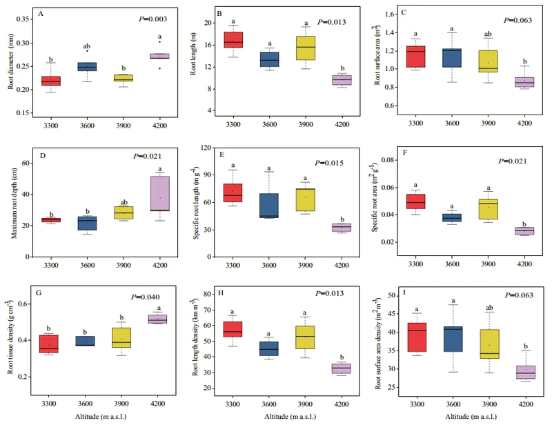
根长度、根表面积、比根长、比表面积、具体特定的根表面积、根长密度和根表面积密度在4200m处显著高于低海拔(3300、3600和3900m),较低的三个海拔之间没有明显差异(图2B,C,E,F,H,I)。根平均直径、根组织密度和最大根深度在4200米最高,而且在3300、3600和3900米处没有观察到显著差异 (图2A,D,G)

图2根系性状随海拔的变化
2. 根际土壤微生物群落的α-多样性
根际土壤细菌群落α多样性随海拔高度的变化而变化。在海拔3600米处,丰富度、多样性和均匀度均达到最低值,从3300米降至3600米,在3600米到3900米和4200米之间有所增加(图3A、B、C)。土壤真菌群落的丰富度受海拔显著影响,在3600米、3900米和4200米处的数值高于3300米处(图3D)。土壤真菌群落的多样性和均匀度在不同海拔之间没有显著差异(图3E、F)。

图3根际土壤微生物群落α多样性随海拔变化
3. 根际土壤微生物群落组成
NMDS排序揭示了不同海拔根际土壤细菌群落组成的差异(图4A)。置换多元方差分析的结果也表明海拔差异是决定因素(59.00%,表1)。土壤细菌数据在海拔梯度上排名前十的门分别是:变形菌门(35.10%)、酸杆菌门(19.71%)、放线菌门(16.07%)、植物菌门(7.15%)、绿菌门(5.55%)、拟杆菌门(5.11%)、粘菌门(2.40%)、双胞菌门(1.88%)、甲烷还原菌门(0.89%)和厚壁菌门(0.88%)(图4C)。变形菌门和酸杆菌门在3600 m处丰度最高,在3600 ~ 4200 m处相对丰度下降,而放线菌门在4200 m处丰度最高(图4C)。土壤真菌群落在3300 m处与其他海拔高度明显差异(图4B)。土壤真菌的优势门为担子菌门(40.36%)、子囊菌门(40.07%)和距壳菌门(16.64%)(图4D)。

图4 根际土壤微生物群落沿海拔非度量多维尺度分析
4. 土壤性质、根系性状与根际土壤微生物群落的关系
研究进行了PERMANOVA分析,以分析根际土壤微生物群落中土壤性质和根系特征各自解释的变异比例。土壤性质,包括SWC(15.09%)、pH(12.96%)、NO3−-N(10.43%)、SAP(30.68%)和根系性状(最大根深(15.05%))是解释细菌群落差异的主要因素(表1)。而SWC(10.37%)、pH(10.69%)、NO3−-N(9.98%)、SAP(15.83%)和根系性状(包括表面积(8.86%)和最大根深(8.97%))是解释真菌群落变化的重要因素(表1)。
RDA和相关热图分析显示,根际细菌和真菌群落与特定土壤性质和根系性状的相关性不同(图5、6)。酸杆菌门、放线菌门、甲烷还原菌门与土壤属性(有效P, NO3−- N、NH4 + - N和土壤含水量)和根特征(平均直径和最大根深度)在高海拔地区显著相关, 而在低海拔(3300 m),浮霉菌门与土壤pH和根表面积高度相关,其相对丰度与根表面积呈正相关,与土壤含水量、NO3−-N和根平均直径负相关(图5A、6A)。土壤真菌的优势门为担子菌门、子囊菌门和距壳菌门。担子菌在低海拔(3300 m)处占主导地位,其相对丰度与土壤pH呈正相关,与有效磷和最大根深呈负相关(图5B、6B)。在高海拔地区(3900米和4200米),营养物质(有效磷和有效氮)的有效性较高,子囊菌群占主导地位(图5B)。同样,距壳菌在高海拔地区(3900 m和4200 m)也处于优势地位,其相对丰度与土壤含水量、根平均直径和有效磷含量呈正相关,与土壤pH呈负相关(图5B、6B)。

表1 根际土壤微生物群落由土壤和根相关变量置换多元方差分析

图5 根际土壤微生物群落和土壤、根相关性质冗余分析

图6根际土壤微生物优势门的相对丰度与土壤性质和根系性状之间的关系
04结论
该研究揭示了根际土壤微生物群落沿海拔梯度的分布模式和驱动因素,提高了我们对高山生态系统微生物生态学的认识。根际土壤细菌和真菌多样性及群落组成在海拔梯度上存在显著差异。海拔对根际土壤微生物群落的影响与土壤性质和根系性状有关。土壤性状(土壤含水量、pH、硝态氮和速效磷)和根系性状(表面积和最大根深)是土壤细菌和真菌群落变化的主要驱动因素。
在不同的海拔梯度上,我们还发现了根际土壤细菌和真菌群落的特定类群。低海拔(3300和3600 m)土壤养分有效性低、根表面积大,以细菌类群浮霉菌为主,而高海拔(3900和4200 m)土壤养分有效度高、根表面积小,真菌类群距壳菌丰富。研究表明,高寒生态系统根际土壤微生物具有多种适应策略,并与土壤养分密切相关。本研究阐明了土壤性质和根系性状与根际土壤微生物群落的关系,有助于提高我们对高寒杜鹃灌丛生态系统微生物生态学的认识。
论文DOI:10.1016/j.scitotenv.2022.161048
